Page 6 - SDG-Institution-NIRF-2025
P. 6
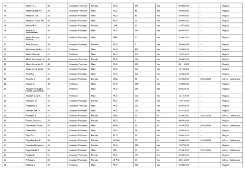
Adhoc / Contractual Adhoc / Contractual Adhoc / Contractual Adhoc / Contractual Adhoc / Contractual Adhoc / Contractual
Regular Regular Regular Regular Regular Regular Regular Regular Regular Regular Regular Regular Regular Regular Regular Regular Regular Regular Regular Regular Regular Regular Regular Regular Regular Regular
29-02-2024 29-02-2024 29-02-2024 31-05-2024 29-02-2024
-- -- -- -- -- -- -- -- -- -- -- -- -- -- -- -- -- -- -- -- -- -- -- -- -- -- --
21-06-2010 03-06-2020 03-06-2020 06-06-2022 11-07-2022 28-08-2007 01-06-2023 22-05-2024 01-08-2016 12-07-2010 26-06-2015 09-11-2022 19-10-2022 15-09-2022 01-04-2021 15-06-2005 24-05-2012 16-12-2014 14-01-2004 06-05-2013 01-07-2022 01-04-2021 09-05-2024 01-04-2021 02-05-2022 29-03-2023 01-04-2021 15-07-2010 01-04-2021 02-05-2013 06-01-2022 01-09-2014
Yes Yes Yes Yes Yes Yes Yes Yes Yes Yes Yes Yes Yes Yes No Yes Yes Yes Yes Yes Yes No Yes No Yes Yes No Yes No Yes Yes Yes
171 49 49 27 60 211 50 7 493 302 164 217 150 124 39 231 242 262 248 233 253 39 3 39 74 59 37 228 27 220 30 133
Ph.D Ph.D Ph.D Ph.D LLM Ph.D MFA Ph.D Ph.D Ph.D Ph.D Ph.D Ph.D Ph.D M.Sc. Ph.D Ph.D Ph.D Ph.D Ph.D Ph.D M.Sc. Ph.D M.Sc. Ph.D Ph.D M.Tech Ph.D M.E. Ph.D M. Phil Ph.D
Female Male Male Male Female Male Male Female Male Male Female Male Male Male Female Male Male Male Female Male Male Female Female Male Male Female Female Female Male Female Female Male
Associate Professor Associate Professor Assistant Professor Assistant Professor Assistant Professor Assistant Professor Assistant Professor Assistant Professor Professor Professor Associate Professor Associate Professor Assistant Professor Assistant Professor Assistant Professor Professor Professor Professor Assistant Professor Associate Professor Assistant Professor Assistant Professor Assistant Professor Assistant Professor Assistant Profess
38 38 35 38 30 48 38 32 74 51 46 42 33 37 28 42 51 48 43 45 44 27 35 29 32 38 36 44 45 51 26 40
Aarthy S L Abdul Majeed K K Abhishek Das Abhishek Rudra Pal Abirami P C Adaikalam Arulanandam Agase Devidas Haribhau Ahna Sharan Ajit Kumar Santra Akash Mohanty Akhila Maheswari M Albert Alexander S Aman Kumar Singh Amit Roy Amudha S Anand M Anand Veerabadra Prasad Gurumoorthy Ananiah Durai S Anbarasi M Prassanna J Praveen Joe I R Praveena S Preethi Solomon Premchand Panda Pritam Das Priya Das Priyadharshini B Priyanka Srivastava Pug
14 15 16 17 18 19 20 21 22 23 24 25 26 27 28 29 30 31 32 33 34 35 36 37 38 39 40 41 42 43 44 45

