Page 66 - NIRF-2023-Engineering-DATA
P. 66
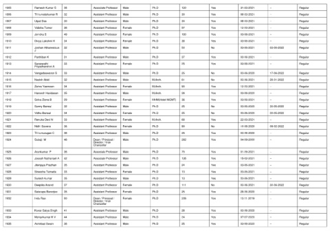
Regular Regular Regular Regular Regular Regular Regular Regular Regular Regular Regular Regular Regular Regular Regular Regular Regular Regular Regular Regular Regular Regular Regular Regular Regular Regular Regular Regular Regular Regular Regular
03-06-2022 17-06-2022 28-01-2022 30-05-2022 30-05-2022 09-02-2022 30-06-2022
-- -- -- -- -- -- -- -- -- -- -- -- -- -- -- -- -- -- -- -- -- -- -- --
31-03-2021 08-03-2021 08-03-2021 12-03-2021 03-06-2021 03-06-2021 03-06-2021 03-06-2021 03-06-2021 03-06-2020 03-06-2021 12-03-2021 03-06-2020 03-06-2021 03-06-2020 03-06-2020 22-03-2021 10-08-2020 03-06-2020 04-09-2000 01-09-2021 15-02-2021 03-06-2021 03-06-2021 03-06-2021 03-06-2021 29-06-2020 13-11-2019 03-06-2020 07-07-2020 03-06-2020
Yes Yes Yes Yes Yes Yes No Yes Yes No No Yes Yes Yes No No Yes No Yes Yes Yes Yes Yes Yes Yes No Yes Yes Yes Yes Yes
120 30 30 57 180 38 50 37 25 25 61 90 26 36 25 25 68 90 25 282 75 135 24 13 13 111 25 235 26 24 25
MHM(Hotel MGMT)
Ph.D Ph.D Ph.D Ph.D Ph.D Ph.D Ph.D Ph.D Ph.D Ph.D M.Arch. M.Arch. M.Arch. Ph.D Ph.D M.Arch. Ph.D Ph.D Ph.D Ph.D Ph.D Ph.D Ph.D Ph.D Ph.D Ph.D Ph.D Ph.D Ph.D Ph.D
Male Male Male Female Female Female Male Male Female Male Male Female Male Female Male Female Female Female Male Male Male Male Male Female Male Female Female Female Male Male Male
Associate Professor Assistant Professor Assistant Professor Assistant Professor Assistant Professor Assistant Professor Assistant Professor Assistant Professor Assistant Professor Assistant Professor Assistant Professor Assistant Professor Assistant Professor Assistant Professor Assistant Professor Assistant Professor Assistant Professor Assistant Professor Assistant Professor Dean / Principal / Director / Vice Chancellor Associate Professor As
38 32 30 36 49 34 32 31 33 33 32 34 35 29 32 34 33 36 36 46 36 42 35 33 35 37 35 50 41 44 36
Ramesh Kumar S Thirumalaikumar R Utpal Das Vidisha Tomer Jenicka S Divya Lakshmi K Joshan Athanesious J Parthiban K Saraswathi Priyadharshini A Vengadeswaran S Nazish Abid Zahra Yasmoon Hareesh Haridasan Selva Ziona B Sunny Bansal Vidhu Bansal Renuka Devi N Nidhi Saxena Thirumurugan C Subaji M Arunkumar P Joseph Nathanael A Jitenjaya Pradhan Sireesha Tamada Suresh Kumar Deepika Anand Satarupa Banerjee Indu Rao Kuvar Satya Singh Mohank
1905 1906 1907 1908 1909 1910 1911 1912 1913 1914 1915 1916 1917 1918 1919 1920 1921 1922 1923 1924 1925 1926 1927 1928 1929 1930 1931 1932 1933 1934 1935

